FNEL
1.58 / 212.31M
0.42
|
KEL
7.96 / 127.32M
0.97
|
WTL
1.36 / 97.31M
0.15
|
CNERGY
7.85 / 76.76M
0.60
|
TSBL
1.82 / 67.03M
0.37
|
BOP
27.73 / 24.55M
2.52
|
PIBTL
15.92 / 22.71M
1.45
|
PRL
36.15 / 21.85M
1.95
|
UNITY
8.69 / 21.63M
0.63
|
TELE
8.39 / 20.50M
0.98
|
HASCOL
18.06 / 18.94M
1.62
|
HUMNL
11.42 / 14.56M
1.01
|
AHCL
14.48 / 13.04M
1.32
|
OGDC
302.87 / 12.92M
27.53
|
TRG
60.01 / 12.58M
5.09
|
KOSM
5.08 / 11.97M
0.60
|
TPLP
7.34 / 11.64M
0.89
|
HUBC
218.57 / 11.59M
19.87
|
BECO
4.97 / 11.56M
0.75
|
PPL
227.83 / 10.19M
20.71
|
FFL
16.38 / 9.56M
1.49
|
SYS
154.28 / 8.89M
14.02
|
AGHA
7.08 / 8.86M
0.58
|
SEARL
91.76 / 8.18M
8.34
|
786
44.69 / 8.05M
-4.96
|
AMTEX
4.40 / 7.63M
0.65
|
NCPL
65.13 / 7.60M
5.92
|
CSIL
4.63 / 7.50M
0.53
|
SSGC
23.88 / 7.45M
2.17
|
ASL
10.82 / 7.33M
1.00
|
BFAGRO
35.29 / 7.28M
3.21
|
LOADS
12.30 / 6.50M
0.80
|
DCL
8.58 / 6.40M
1.00
|
ENGROH
288.61 / 6.24M
26.24
|
JSMFETF
10.64 / 6.23M
0.86
|
PSO
369.95 / 6.19M
33.63
|
WAVESAPP
8.22 / 6.11M
0.68
|
MEBL
519.04 / 6.09M
37.88
|
GDL
19.66 / 5.82M
1.42
|
MDTL
5.90 / 5.77M
0.61
|
TBL
10.10 / 5.49M
0.55
|
TREET
23.99 / 5.38M
2.18
|
FFC
541.49 / 4.97M
49.23
|
PIAHCLA
20.65 / 4.88M
1.88
|
FATIMA
138.85 / 4.86M
12.62
|
NPL
71.72 / 4.85M
6.52
|
PASL
2.50 / 4.85M
0.32
|
TPL
7.20 / 4.85M
1.00
|
EFERT
214.07 / 4.78M
19.36
|
ATRL
874.40 / 4.71M
41.40
|
Standard Capital
Committed to Intelligent Investing
+9221-111-111-721
 
+92-321-829-6919
Call Us
Why SCS
Why SCS
About Us
CEO`S Message
Our Management
Company Financials
Company Brochure
Management Rating
Credit Rating
License Details
Auditor & Legal Advisor
Registered Agents
Careers
Online Trading
Open An Account
Online Account
Roshan Digital Account
PMEX Digital Account
Online Services
Transfer Funds
Commission Structure (PSX)
Commission Structure (PMEX)
Access Trading Platforms
TradeCast User Guide
PMEX
Open An Account
Introduction To PMEX
PMEX Account Opening
PMEX Commission Structure
Online Services
Transfer Funds
Do`s & Dont`s
Direct Fund Model
Prohibition of Dealing
Risk Management
Security And Protection
Investor Education
Important Guidelines
Account Opening Requirements
Investor Grievances
Membership License
Market Statistics
Market Valuations
Market Valuations
MSCI Stocks
Top Expected P/E Stocks
Top Dividend Yeild Stocks
Top Price to Book Value Stocks
Top EV/EBITDA Stocks
Top Performing Stocks (3 Months)
Top Performing Stocks (6 Months)
Lowest Paid Up Capital Stocks
Price Data
Index Overview
Daily Activity
Historical Indices
Historical Prices
Near 52 Weeks High - Low
Announcements
Announcements
Board Meetings
xPrice Dates
Portfolio Investments
Portfolio Investment Overview
Watch List
Watch List
PSX Heat Map
PSX Heat Map
Technicals
Technical Tools
Realtime Advanced Chart
Realtime Advanced Multi Chart
Basic Charting Day-End
Index VS Stocks
Technical Report
New
Trading Signals
Trading Signals
Today`s Trading Signals
Trading Signal Performance
Fundamentals
Financials
Index Snapshot
Sector`s Snapshot
Company`s Snapshot
Stock Screening
Stock Screening
Stock Comparison
Research & Education
Research
Analyst Opinions
Market & Economic Reports
Company Reports
Trading Desk Reports
Technical Reports
Mutual Fund Reports
Trading Reports
Payout Guides
News Briefs
MTS Report
Valuation Matrix
MSCI PRO INDEXES
Guides
New to Investing
Guides
Website Guide
Workshop
Online Trading Terms
SLA From Software Vendor
POLICY AND PROCEDURES
Product Compliance Certificate
PSX Merged Shares
Change of the Name
PSX Delisted Securities
Media
Video Gallery
Support
Investor Grievances
Contact Us
Branches
Teamviewer
Any Desk
Java
Snapshot /
TPL - TPL Corporation Ltd.
Snapshot Menu
Company Detail`s
Overview
Funds Holding
Analyst Opinion
Historical Prices
Profile
News
Announcements
Technicals
Overview
Basic Chart
Trading Signals
Analyst Coverage
Research Reports
Financials
Yearly Financials
Quarterly Financials
Distributions
Ratios
Yearly Ratios
Quarterly Ratios
TPL - TPL Corporation Ltd.
TECHNOLOGY & COMMUNICATION
Share
Rs. 7.20
1.00 (16.13%)
Volume:
4,845,908
Market Cap:
1.92 bn
Avg Volume (12M):
4,333,719
Day`s Range
Rs. 6.72
Rs. 7.20
1 Month Range
Rs. 6.10
Rs. 7.41
6 Month Range
Rs. 6.10
Rs. 13.06
52 Week`s Range
Rs. 3.25
Rs. 14.37
Performance
1 Month
3 Month
6 Month
1 Year
-3.73 %
-41.12 %
-25.57 %
30.25 %
Paid Up Capital:
2,672.98 mn
Authorized Capital:
3,300.00 mn
Total No. Shares:
267.30 mn
Free Float:
147.01 mn
Beta:
1.26
Facevalue:
10.00
Free Float %:
55.00 %
Year End:
June
Market Cap:
1.92 bn
Business Description
TPL Trakker Limited (the Company) was incorporated in Pakistan on December 04, 2008 as a private limited company under the repealed Companies Ordinance, 1984 (now Companies Act, 2017). The name of the Company has been changed to TPL Corp Limited. The principal activity of the Company is to make investment in group and other companies.
Recent Announcements
Ann Type
Ann Date
Description
Image
PDF
Material Information
06-Mar-2026
This is in continuation of our earlier announcements regarding the acquisition of shares in, and control of TPL Insurance Limited, a subsidiary of TPL Corp Limited (the “Company”), by Jazz International Holding Limited (the “Acquirer”).
View
PDF
Financial Result
02-Mar-2026
Financial Results for the Quarter Ended 31-12-2025
View
PDF
Board Meetings
20-Feb-2026
Board Meeting at 08-Apr-2026
View
PDF
Material Information
17-Dec-2025
This is in continuation of our earlier announcement dated September 08, 2025, regarding the in-principle approval granted by the Board of Directors of TPL Corp Limited (the "Company") for the potential acquisition of shares in, and control of, TPL Insurance Limited, a subsidiary of the Company, by Jazz International Holding Limited (the "Acquirer").
View
PDF
Shareholder Meetings
05-Dec-2025
Notice of Annual General Meeting
View
PDF
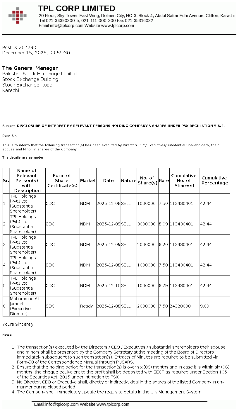
Insider Transactions
Date
Name
Designation
Action
Quantity
Rate
Image
PDF
06-Apr-2026
Muhammad Ali Jameel
Executive Director
Sell
148,000
6.53
View
PDF
03-Apr-2026
Muhammad Ali Jameel
Executive Director
Sell
235,402
6.59
View
PDF
01-Apr-2026
Muhammad Ali Jameel
Executive Director
Sell
38,500
6.72
View
PDF
27-Mar-2026
Muhammad Ali Jameel
Executive Director
Sell
420,000
6.98
View
PDF
13-Feb-2026
TPL Holdings (Pvt.) Ltd
Substantial Shareholder
Buy
3,000,000
9.83
View
PDF
Earnings
Latest EPS
Upto 2026 2Q
EPS Last Quarter
2026 2Q
Last Annual EPS
Upto 2025 4Q
Price To Earning P/E
Upto 0
Exp Price To Earning P/E
Upto 2026 2Q
Exp Earning Gowth
Upto 2026 2Q
Price Earning Growth
Upto 0
Rs. -1.75
Rs. -1.26
Rs. -4.00
N/A x
N/A x
12.50 %
N/A x
Important Ratios
Gross Margin
Upto 0
Sales Growth (YoY)
2016 to 2017
Sales Growth (QoQ)
4Q 2017 to 1Q 2018
Enterprise Value Per Share
Upto 2026 2Q
Book Value Per Share
Upto 2026 2Q
Debt to Equity Ratio
Upto 0
xPrice Date
Right: Right Shares in prop. of 12.64% PKR 10/ per share
N/A %
-2.01%
4.65%
Rs. 8.97
Rs. 10.79
250.40 %
05-Oct-2018
Equity Ratios
Book Value
Upto 2026 2Q
Exp Book Value
Upto 2026 2Q
Book Value Growth
Upto 2025 4Q
Exp Book Value Growth
Upto 2026 2Q
Price To Book Value
Upto 2026 2Q
Exp Price To Book Value
Upto 2026 2Q
Return On Equity
Upto 2025 4Q
Exp Return On Equity
Upto 2026 2Q
Retention Ratio
Upto 0
Exp Retention Ratio
Upto 0
Equity To Assets Ratio
Upto 2025 4Q
Return On Assets
Upto 2025 4Q
Return On Cap Employed
Upto 0
Rs. 10.79
Rs. 7.29
57.48 %
-32.44 %
0.57 x
0.85 x
-84.43 %
-48.01 %
N/A %
N/A %
15.28 %
-12.90 %
N/A %
Dividends
Latest Dividend
Upto 2017 4Q
Dividend Last Quarter
2017 4Q
Last Annual Dividend
Upto 0
Dividend Yield
Upto 0
Expected Dividend
Upto 0
Expected Dividend Yield
Upto 0
Expected Dividend Growth
Upto 0
Dividend Cover
Upto 0
Payout Ratio
Upto 0
Expected Payout Ratio
Upto 0
Rs. 0.25
Rs. 0.25
Rs. N/A
N/A %
Rs. N/A
N/A %
N/A %
N/A x
N/A %
N/A %
Sales
Sales Per Share
Upto 0
Exp Sales Per Share
Upto 2018 1Q
Price To Sales
Upto 0
Exp Price To Sales
Upto 2018 1Q
Sales Per Share Growth
Upto 2025 4Q
Exp Sales P/S Growth
Upto 0
Rs. N/A
Rs. 7.67
N/A x
0.81 x
-2.43 %
N/A %
Enterprise Value (EV)
EV To Sales
Upto 0
Exp EV To Sales
Upto 2018 1Q
Enterprise Value
Upto 2026 2Q
Market Capitalization
Latest
EV To EBITDA
Upto 0
EV Per Share
Upto 2026 2Q
N/A x
1.44 x
Rs. 2.40 bn
Rs. 1.92 bn
N/A x
Rs. 8.97
Cash
Cash Flow Per Share
Upto 2026 2Q
Cash Per Share
Upto 2026 2Q
Rs. 0.09
Rs. 0.09
Profitablility
Net Profit Margin
Upto 0
Gross Profit Margin
Upto 0
EBIT Margin
Upto 0
EBITDA Margin
Upto 0
Net Interest Margin
Upto 0
N/A %
N/A %
N/A %
N/A %
N/A %
Liquidity
Interest Cover
Upto 2025 4Q
Times Interest Earned
Upto 0
Inventory Turnover
Upto 0
Asset Turnover
Upto 0
Current Ratio
Upto 2026 2Q
Effective Tax Rate
Upto 2025 4Q
Quick Ratio
Upto 2025 4Q
Net Interest To Assets
Upto 0
-0.11 %
N/A %
N/A %
N/A %
0.08 x
-0.78 %
0.07 x
N/A %
Solvency
Long Debt To Equity
Total Debt To Equity
Long Debt To Assets
Upto 2026 2Q
Total Debt To Assets
Upto 2026 2Q
26.52 %
250.40 %
7.57 %
71.46 %